紫花前胡素
- 中文名称:
- 紫花前胡素
- 中文别名:
- 紫花前胡素;
Deacylgymnemic acid
- 英文名称:
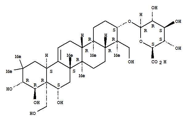
- b-D-Glucopyranosiduronic acid, (3b,4a,16b,21b,22a)-16,21,22,23,28-pentahydroxyolean-12-en-3-yl
- 英文别名:
- Deacylgymnemic acid;
(2S,3S,4S,5R,6R)-6-[[(6aR,6bS,8R,8aR,9S,10S,12aR,14bR)-8,9,10-trihydroxy-4,8a-bis(hydroxymethyl)-4,6a,6b,11,11,14b-hexamethyl-1,2,3,4a,5,6,7,8,9,10,12,12a,14,14a-tetradecahydropicen-3-yl]oxy]-3,4,5-trihydroxyoxane-2-carboxylic acid
- CAS No.:
- 121686-42-8
- 分 子 式:
-
C36H58O12
- 分 子 量:
- 682.84
- 精确分子量:
- 682.39300
- PSA:
- 217.60000
- InChI:
- The Key: NXUZSZLFZAMZLC-SOLHJDTNSA-N3
- 分子结构式:
-

- SDS:
- 查看
紫花前胡素 物化性质
- 密度:
- 1.39g/cm3
- 沸点:
- 826.4ºC at 760mmHg
- 闪点:
- 252ºC
- 折射率:
- 1.626
- 蒸汽压:
- 1.14E-31mmHg at 25°C