- 中文名称:
-
- 中文别名:
- 2,6-dioxo-1,2,3,6-tetrahydro-pyrimidine-4-carboxylic acid N'-acetyl-hydrazide
- 英文名称:
- 4-Pyrimidinecarboxamide,1,2,3,6-tetrahydro-N,N-bis(2-hydroxyethyl)-2,6-dioxo-
- 英文别名:
- 2,6-dioxo-1,2,3,6-tetrahydro-pyrimidine-4-carboxylic acid N'-acetyl-hydrazide;
Orotsaeure-bis-<2-hydroxy-aethyl>-amid;
n'-acetyl-2,6-dioxo-1,2,3,6-tetrahydropyrimidine-4-carbohydrazide
- CAS No.:
- 3346-70-1
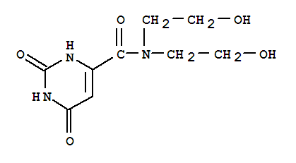
- 分 子 式:
-
C9H13N3O5
- 分 子 量:
- 243.2166
- 精确分子量:
- 243.08600
- PSA:
- 126.49000
- InChI:
- The Key: RXHUOFJJWMSKKO-UHFFFAOYSA-N3
- 分子结构式:
-

- SDS:
- 查看
物化性质
- 密度:
- 1.466g/cm3
- 折射率:
- 1.576