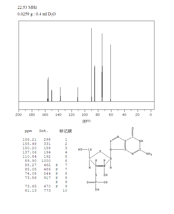
3'-(二氢磷酸)鸟嘌呤核苷
- 中文名称:
- 3'-(二氢磷酸)鸟嘌呤核苷
- 中文别名:
- 3'-(二氢磷酸)鸟嘌呤核苷;
Guanosine 3'-phosphoric acid Guanosine-3'-phosphoric acid Guo-3'-P
- 英文名称:
- 3'-Guanylic acid
- 英文别名:
- guanosine 3'-monophosphate;
3'-Guanylic acid
- CAS No.:
- 117-68-0
- 分 子 式:
-
C10H14N5O8P
- 分 子 量:
- 363.220621
- 精确分子量:
- 363.05800
- PSA:
- 215.85000
- EINECS:
- 204-202-1
- InChI:
- The Key: ZDPUTNZENXVHJC-UUOKFMHZSA-N3
- 分子结构式:
-

- SDS:
- 查看
3'-(二氢磷酸)鸟嘌呤核苷 分子结构与计算化学数据
分子结构数据
1、 摩尔折射率:70.76
2、 摩尔体积(cm3/mol):146.9
3、 等张比容(90.2K):521.2
4、 表面张力(dyne/cm):158.5
5、 极化率(10-24cm3):28.05