- 中文名称:
-
- 中文别名:
-
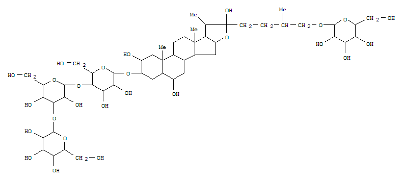
- 英文名称:
- b-D-Galactopyranoside, (2a,3b,5a,6b,22a,25R)-26-(b-D-glucopyranosyloxy)-2,6,22-trihydroxyfurostan-3-yl O-b-D-glucopyranosyl-(1®3)-O-b-D-glucopyranosyl-(1®4)- (9CI)
- 英文别名:
- b-D-Galactopyranoside, (2a,3b,5a,6b,22a,25R)-26-(b-D-glucopyranosyloxy)-2,6,22-trihydroxyfurostan-3-yl O-b-D-glucopyranosyl-(1®3)-O-b-D-glucopyranosyl-(1®4)- (9CI)
- CAS No.:
- 118524-13-3
- 分 子 式:
-
C51H86O26
- 分 子 量:
- InChI:
- The Key: RPLNTGAJLNTPGI-OTBKFGHVSA-N3
- 分子结构式:
-

- SDS:
- 查看