抗生素 TL 119
- 中文名称:
- 抗生素 TL 119
- 中文别名:
-
- 英文名称:
- Antibiotic A 3302B(9CI)
- 英文别名:
- 2-[(2-acetamido-3-phenylpropanoyl)amino]-N-[1-[[(3E)-3-ethylidene-6,13-dimethyl-2,5,8,11-tetraoxo-9-propan-2-yl-1-oxa-4,7,10-triazacyclotridec-12-yl]amino]-1-oxo-3-phenylpropan-2-yl]-4-methylpentanamide;
A-3309-B;
Antibiotic A 3302B;
Antibiotic TL 119;
TL 119
- CAS No.:
- 55599-68-3
- 分 子 式:
-
C42H57N7O9
- 分 子 量:
- 0
- 精确分子量:
- 803.42200
- PSA:
- 254.43000
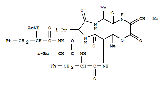
- 分子结构式:
-

- SDS:
- 查看
抗生素 TL 119 物化性质
- 密度:
- 1.24g/cm3
- 沸点:
- 1231ºC at 760mmHg
- 闪点:
- 698.3ºC
- 折射率:
- 1.582
抗生素 TL 119 毒理性
CHEMICAL IDENTIFICATION
- RTECS NUMBER :
- CB9168000
- CHEMICAL NAME :
- Antibiotic A 3302A, 1-(N-acetyl-D-phenylalanine)-
- CAS REGISTRY NUMBER :
- 55599-68-3
- LAST UPDATED :
- 198707
- DATA ITEMS CITED :
- 1
- MOLECULAR FORMULA :
- C42-H57-N7-O9
- MOLECULAR WEIGHT :
- 804.06
HEALTH HAZARD DATA
ACUTE TOXICITY DATA
- TYPE OF TEST :
- LD50 - Lethal dose, 50 percent kill
- ROUTE OF EXPOSURE :
- Intraperitoneal
- SPECIES OBSERVED :
- Rodent - mouse
- DOSE/DURATION :
- 50 mg/kg
- TOXIC EFFECTS :
- Details of toxic effects not reported other than lethal dose value
- REFERENCE :
- 85GDA2 "CRC Handbook of Antibiotic Compounds," Vols.1- , Berdy, J., Boca
Raton, FL, CRC Press, 1980- Volume(issue)/page/year: 4(2),167,1980