返回

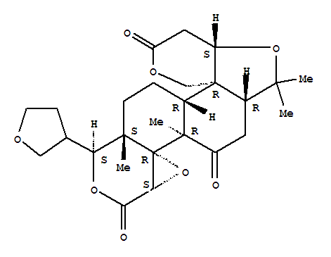
1062-07-3(11H,13H-噁丙烯并[d]吡喃并[4',3':3,3a]异苯并呋喃并[5,4-f][2]苯并吡喃-4,6,13(2H,5aH)-三酮,十氢-2,2,4a,8a-四甲基-8-(四氢-3-呋喃基)-,(2aR,4aR,4bR,5aS,8S,8aS,10aR,10bR,14aS)- (9CI))

11H,13H-噁丙烯并[d]吡喃并[4',3':3,3a]异苯并呋喃并[5,4-f][2]苯并吡喃-4,6,13(2H,5aH)-三酮,十氢-2,2,4a,8a-四甲基-8-(四氢-3-呋喃基)-,(2aR,4aR,4bR,5aS,8S,8aS,10aR,10bR,14aS)- (9CI)

1062-07-3

查看更多信息

没有找到符合您的产品名,为您推荐“1062-07-3”的上下游产品

@2009-2026 洛克化工网 浙ICP备16009103号