返回

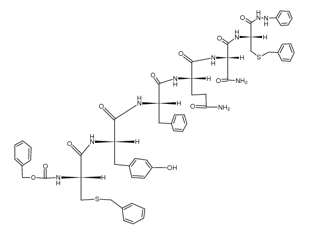
108607-43-8(Benzyloxycarbonyl-S-benzylcysteinyl-tyrosyl-phenylalanyl-glutaminyl-asparaginyl-S-benzylcysteine phenylhydrazide)

Benzyloxycarbonyl-S-benzylcysteinyl-tyrosyl-phenylalanyl-glutaminyl-asparaginyl-S-benzylcysteine phenylhydrazide

108607-43-8

查看更多信息

没有找到符合您的产品名,为您推荐“108607-43-8”的上下游产品

@2009-2026 洛克化工网 浙ICP备16009103号