返回

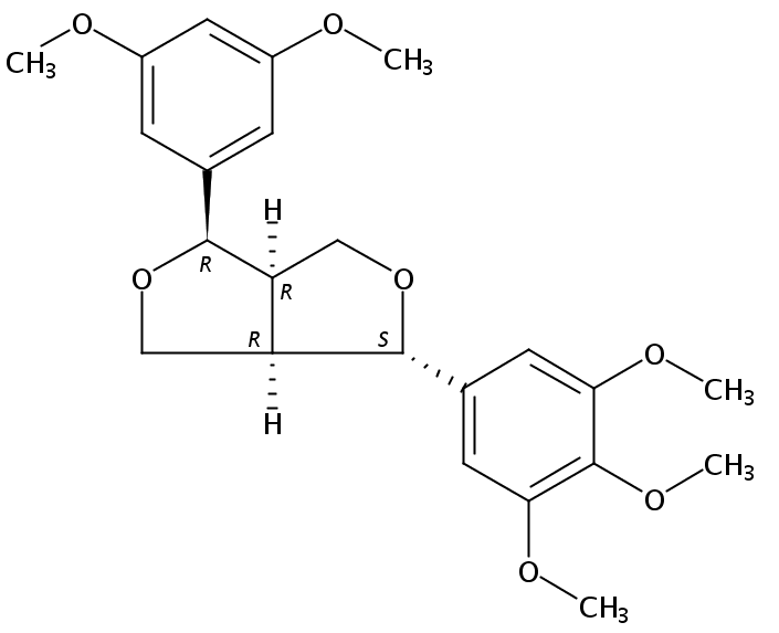
1134188-26-3(表木兰脂素 B)

表木兰脂素 B

1134188-26-3

查看更多信息
推荐供应商
区域:江苏省   年限:2024年
联系人:李珊
电话:18251890384
手机:18251890384
区域:湖北省   年限:2023年
联系人:马蕊
电话:18162791556
手机:18162791556
区域:湖北省   年限:2017年
联系人:欧阳
电话:13545281503
手机:18607104898
区域:四川省   年限:2021年
联系人:
电话:028-85003950
手机:17313084125
区域:   年限:2010年
联系人:惠敏
电话:028-82633860
手机:18602888327
区域:上海市   年限:2022年
联系人:宋经理
电话:4006399689
手机:18930436018

为您推荐“1134188-26-3”的上下游产品

@2009-2026 洛克化工网 浙ICP备16009103号