返回

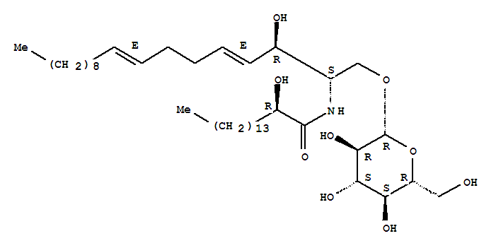
114297-20-0(SOYACEREBROSIDE I)

SOYACEREBROSIDE I

114297-20-0

查看更多信息
推荐供应商
区域:江苏省   年限:2024年
联系人:李珊
电话:18251890384
手机:18251890384
推广 大豆脑苷I
区域:湖北省   年限:2023年
联系人:马蕊
电话:18162791556
手机:18162791556
推广 大豆脑苷I
区域:四川省   年限:2021年
联系人:
电话:028-85003950
手机:17313084125
区域:湖北省   年限:2017年
联系人:欧阳
电话:13545281503
手机:18607104898
区域:上海市   年限:2018年
联系人:Shirley张
电话:021-57520831
手机:18116052675
区域:上海市   年限:2010年
联系人:Yuki
电话:021-61845781
手机:13585604150
推广 大豆脑苷I
区域:陕西省   年限:2013年
联系人:蔡钊
电话:0917-8656101
手机:13228436397
区域:广东省   年限:2014年
联系人:冯女士
电话:0760-88229570
手机:
区域:云南省   年限:2011年
联系人:
电话:0871-5217109
手机:

为您推荐“114297-20-0”的上下游产品

@2009-2026 洛克化工网 浙ICP备16009103号