返回

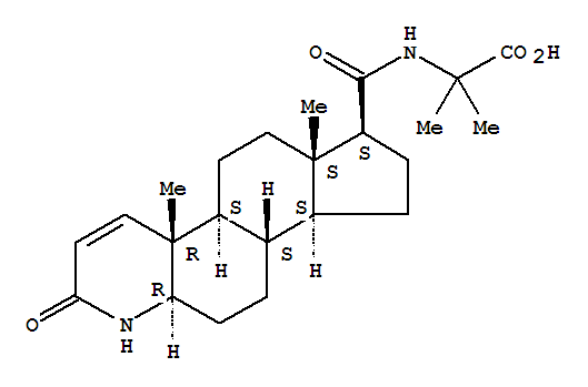
116285-37-1(N-{[(4aR,4bS,6aS,7S,9aS,9bS,11aR)-4A,6A-二甲基-2-氧代-2,4A,4B,5,6,6A,7,8,9,9A,9B,10,11,11A-十四氢-1H-茚并[5,4-f]喹啉-7-基]羰基}-2-甲基丙氨酸)

N-{[(4aR,4bS,6aS,7S,9aS,9bS,11aR)-4A,6A-二甲基-2-氧代-2,4A,4B,5,6,6A,7,8,9,9A,9B,10,11,11A-十四氢-1H-茚并[5,4-f]喹啉-7-基]羰基}-2-甲基丙氨酸

116285-37-1

查看更多信息

没有找到符合您的产品名,为您推荐“116285-37-1”的上下游产品

@2009-2026 洛克化工网 浙ICP备16009103号