返回

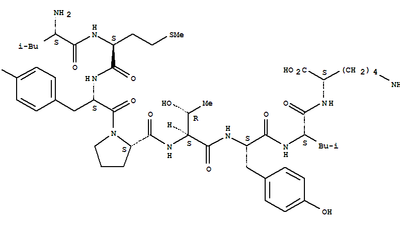
120550-85-8(TYR-THR-ARG-LEU-ARG-LYS-GLN-MET-ALA-VAL-LYS-LYS-TYR-LEU-ASN-SER-ILE-LEU-ASN-NH2: YTRLRKQMAVKKYLNSILN-NH2)

TYR-THR-ARG-LEU-ARG-LYS-GLN-MET-ALA-VAL-LYS-LYS-TYR-LEU-ASN-SER-ILE-LEU-ASN-NH2: YTRLRKQMAVKKYLNSILN-NH2

120550-85-8

查看更多信息
推荐供应商
区域:浙江省   年限:2019年
联系人:向海林
电话:17342063383
手机:
推广 120550-85-8
区域:江苏省   年限:2023年
联系人:
电话:13862111431
手机:13862111431
推广 120550-85-8
区域:四川省   年限:2018年
联系人:
电话:17380623303
手机:17380623303
推广 120550-85-8
区域:   年限:2020年
联系人:徐钊
电话:15952803037
手机:15952803037

为您推荐“120550-85-8”的上下游产品

@2009-2026 洛克化工网 浙ICP备16009103号