返回

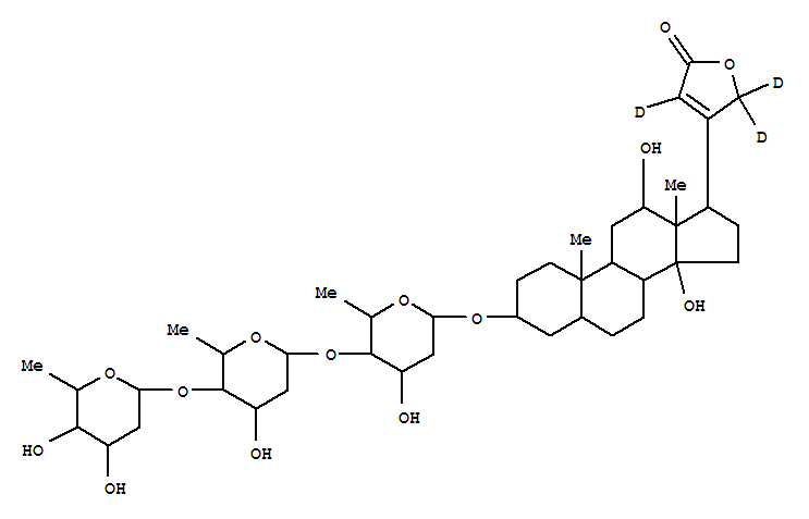
127299-95-0(12,14-二羟基-17-[5-氧代(2H3)-4,5-二氢-2-呋喃基]雄甾烷-3-基2,6-二脱氧吡喃己糖苷-(1->4)-2,6-二脱氧吡喃己糖苷-(1->4)-2,6-二脱氧吡喃己糖苷)

12,14-二羟基-17-[5-氧代(2H3)-4,5-二氢-2-呋喃基]雄甾烷-3-基2,6-二脱氧吡喃己糖苷-(1->4)-2,6-二脱氧吡喃己糖苷-(1->4)-2,6-二脱氧吡喃己糖苷

127299-95-0

查看更多信息
推荐供应商
推广 DIGOXIN-D3
区域:江苏省   年限:2010年
联系人:屠先生
电话:0512-52511818
手机:13906222958
推广 DIGOXIN-D3
区域:江苏省   年限:2010年
联系人:贺文珠
电话:0516-87762960
手机:
推广 DIGOXIN-D3
区域:广东省   年限:2010年
联系人:陈凡
电话:020-87687760
手机:

为您推荐“127299-95-0”的上下游产品

@2009-2026 洛克化工网 浙ICP备16009103号