返回

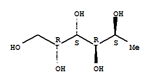
13074-06-1(L-岩藻糖醇)

L-岩藻糖醇

13074-06-1

查看更多信息
推荐供应商
区域:湖北省   年限:2017年
联系人:欧阳
电话:13545281503
手机:18607104898
区域:上海市   年限:2018年
联系人:Shirley张
电话:021-57520831
手机:18116052675
推广 13074-06-1
区域:上海市   年限:2010年
联系人:Yuki
电话:021-61845781
手机:13585604150
推广 岩藻糖醇
区域:   年限:2010年
联系人:惠敏
电话:028-82633860
手机:18602888327
区域:湖北省   年限:2022年
联系人:邵经理
电话:16621771607
手机:16621771607
区域:四川省   年限:2024年
联系人:
电话:18224018291
手机:18224018291

为您推荐“13074-06-1”的上下游产品

@2009-2026 洛克化工网 浙ICP备16009103号