返回

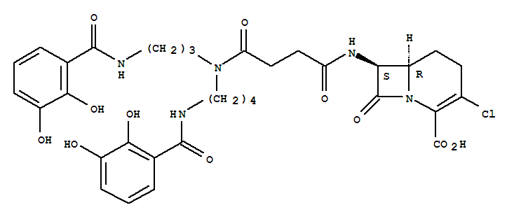
134782-23-3((6R,7S)-3-氯-7-[[4-[[4-[(2,3-二羟基苯甲酰基)氨基]丁基][3-[(2,3-二羟基苯甲酰基)氨基]丙基]氨基]-1,4-二氧代丁基]氨基]-8-氧代-1-氮杂双环[4.2.0]辛-2-烯-2-羧酸)

(6R,7S)-3-氯-7-[[4-[[4-[(2,3-二羟基苯甲酰基)氨基]丁基][3-[(2,3-二羟基苯甲酰基)氨基]丙基]氨基]-1,4-二氧代丁基]氨基]-8-氧代-1-氮杂双环[4.2.0]辛-2-烯-2-羧酸

134782-23-3

查看更多信息
推荐供应商

为您推荐“134782-23-3”的上下游产品

@2009-2026 洛克化工网 浙ICP备16009103号