返回

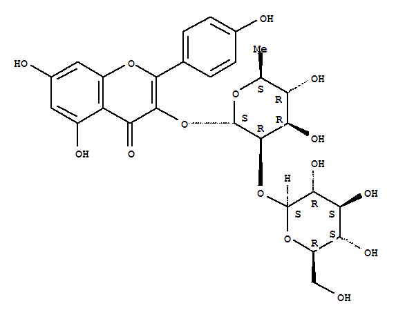
142451-65-8(3-[(2S,3R,4R,5R,6S)-4,5-二羟基-6-甲基-3-[(2S,3R,4S,5S,6R)-3,4,5-三羟基-6-(羟基甲基)四氢吡喃-2-基]氧基四氢吡喃-2-基]氧基-5,7-二羟基-2-(4-羟基苯基)苯并吡喃-4-酮)

3-[(2S,3R,4R,5R,6S)-4,5-二羟基-6-甲基-3-[(2S,3R,4S,5S,6R)-3,4,5-三羟基-6-(羟基甲基)四氢吡喃-2-基]氧基四氢吡喃-2-基]氧基-5,7-二羟基-2-(4-羟基苯基)苯并吡喃-4-酮

142451-65-8

查看更多信息
推荐供应商
区域:四川省   年限:2021年
联系人:
电话:028-85003950
手机:17313084125
区域:四川省   年限:2015年
联系人:蔡女士
电话:028-87317839
手机:18030607553

为您推荐“142451-65-8”的上下游产品

@2009-2026 洛克化工网 浙ICP备16009103号