返回

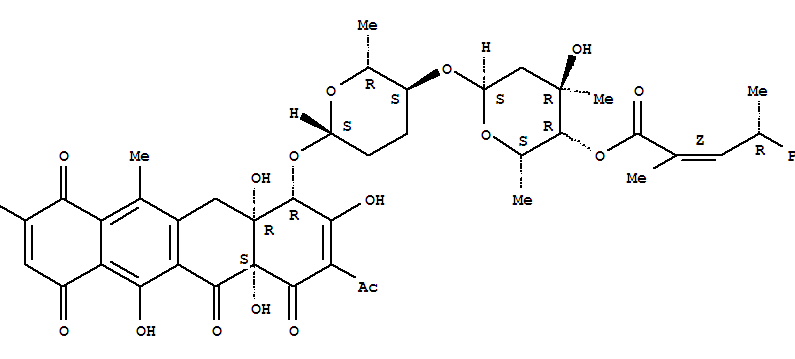
146663-67-4([(2S,3R,4R,6S)-6-[(2R,3S,6S)-6-[[(1S,4aS,12aR)-3-乙酰基-4,4a,6,12a-四羟基-9-甲氧基-11-甲基-2,5,7,10-四氧代-1,12-二氢并四苯-1-基]氧基]-2-甲基四氢吡喃-3-基]氧基-4-羟基-2,4-二甲基四氢吡喃-3-基] (Z,4R)-2,4-二甲基庚-2-烯酸酯)

[(2S,3R,4R,6S)-6-[(2R,3S,6S)-6-[[(1S,4aS,12aR)-3-乙酰基-4,4a,6,12a-四羟基-9-甲氧基-11-甲基-2,5,7,10-四氧代-1,12-二氢并四苯-1-基]氧基]-2-甲基四氢吡喃-3-基]氧基-4-羟基-2,4-二甲基四氢吡喃-3-基] (Z,4R)-2,4-二甲基庚-2-烯酸酯

146663-67-4

查看更多信息

没有找到符合您的产品名,为您推荐“146663-67-4”的上下游产品

@2009-2026 洛克化工网 浙ICP备16009103号