返回

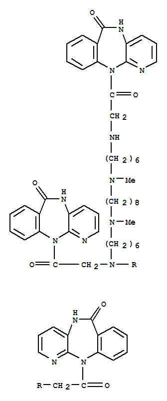
152429-64-6(11-[2-[6-[甲基-[8-[甲基-[6-[[2-氧代-2-(6-氧代-5H-吡啶并[2,3-b][1,4]苯并二氮杂卓-11-基)乙基]氨基]己基]氨基]辛基]氨基]己基-[2-氧代-2-(6-氧代-5H-吡啶并[2,3-b][1,4]苯并二氮杂卓-11-基)乙基]氨基]乙酰基]-5H-吡啶并[2,3-b][1,4]苯并二氮杂卓-6-酮)

11-[2-[6-[甲基-[8-[甲基-[6-[[2-氧代-2-(6-氧代-5H-吡啶并[2,3-b][1,4]苯并二氮杂卓-11-基)乙基]氨基]己基]氨基]辛基]氨基]己基-[2-氧代-2-(6-氧代-5H-吡啶并[2,3-b][1,4]苯并二氮杂卓-11-基)乙基]氨基]乙酰基]-5H-吡啶并[2,3-b][1,4]苯并二氮杂卓-6-酮

152429-64-6

查看更多信息

没有找到符合您的产品名,为您推荐“152429-64-6”的上下游产品

@2009-2026 洛克化工网 浙ICP备16009103号