返回

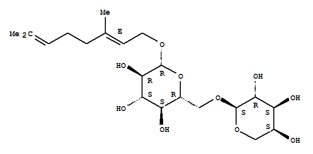
152520-94-0((2S,3R,4S,5S,6R)-2-[(2E)-3,7-二甲基辛-2,6-二烯氧基]-6-[[(2S,3R,4S,5S)-3,4,5-三羟基四氢吡喃-2-基]氧基甲基]四氢吡喃-3,4,5-三醇)

(2S,3R,4S,5S,6R)-2-[(2E)-3,7-二甲基辛-2,6-二烯氧基]-6-[[(2S,3R,4S,5S)-3,4,5-三羟基四氢吡喃-2-基]氧基甲基]四氢吡喃-3,4,5-三醇

152520-94-0

查看更多信息
推荐供应商
推广 152520-94-0
区域:湖北省   年限:2017年
联系人:欧阳
电话:13545281503
手机:18607104898

为您推荐“152520-94-0”的上下游产品

@2009-2026 洛克化工网 浙ICP备16009103号