返回

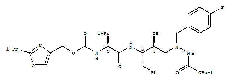
162739-42-6(叔-丁基 2-(4-氟苯甲基)-2-[(2S,3S)-2-羟基-3-{[N-({[2-(1-甲基乙基)-1,3-噁唑-4-基]甲氧基}羰基)-L-缬氨酰]氨基}-4-苯基丁基]肼羧酸酯)

叔-丁基 2-(4-氟苯甲基)-2-[(2S,3S)-2-羟基-3-{[N-({[2-(1-甲基乙基)-1,3-噁唑-4-基]甲氧基}羰基)-L-缬氨酰]氨基}-4-苯基丁基]肼羧酸酯

162739-42-6

查看更多信息
推荐供应商
区域:山东省   年限:2024年
联系人:张经理
电话:15666366704
手机:15666366704

为您推荐“162739-42-6”的上下游产品

@2009-2026 洛克化工网 浙ICP备16009103号