返回

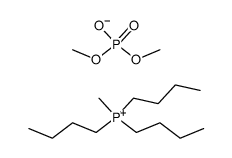
20445-88-9(三正丁基膦磷酸三甲酯盐)

三正丁基膦磷酸三甲酯盐

20445-88-9

查看更多信息
推荐供应商
区域:湖北省   年限:2017年
联系人:汪军蕊(微信同号)
电话:027-59322506
手机:18071128683
区域:山东省   年限:2023年
联系人:谭经理
电话:13053322091
手机:13053322091
区域:河南省   年限:2010年
联系人:赵智艳
电话:0393-8910800
手机:15839383373
区域:上海市   年限:2010年
联系人:Yuki
电话:021-61845781
手机:13585604150
区域:江苏省   年限:2023年
联系人:
电话:15195660023
手机:15195660023
区域:湖北省   年限:2019年
联系人:刘经理
电话:18171205315
手机:18171205315

为您推荐“20445-88-9”的上下游产品

@2009-2026 洛克化工网 浙ICP备16009103号