返回

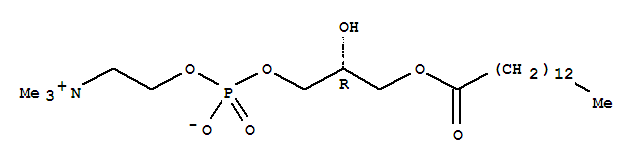
20559-16-4(1-肉豆蔻-sn-甘油-3-磷酸胆碱)

1-肉豆蔻-sn-甘油-3-磷酸胆碱

20559-16-4

查看更多信息
推荐供应商
区域:湖北省   年限:2019年
联系人:方经理
电话:027-59206672
手机:18327059871
区域:湖北省   年限:2017年
联系人:王念
电话:027-59210159
手机:15172311821
区域:湖北省   年限:2013年
联系人:孙敏
电话:027-59599240
手机:18702754003
区域:湖北省   年限:2018年
联系人:付玉
电话:027-59223056
手机:15271829679
区域:山东省   年限:2023年
联系人:谭经理
电话:13070690626
手机:13070690626
区域:湖北省   年限:2023年
联系人:胡雯丽
电话:027-59106185
手机:13986181695
区域:湖北省   年限:2023年
联系人:刘紫莹
电话:027-59106191
手机:13986246535
区域:湖北省   年限:2023年
联系人:张思胧
电话:027-59220433
手机:13986212397
区域:湖北省   年限:2016年
联系人:邹琦
电话:027-59106051
手机:13627137652
区域:湖北省   年限:2017年
联系人:汪军蕊(微信同号)
电话:027-59322506
手机:18071128683

为您推荐“20559-16-4”的上下游产品

@2009-2026 洛克化工网 浙ICP备16009103号