返回

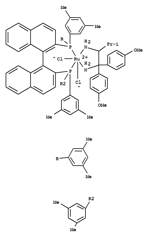
220114-32-9(Dichloro{(R)-(+)-2,2-bis[di(3,5-xylyl)phosphino]-1,1-binaphthyl}[(2R)-(-)-1,1-bis(4-methoxyphenyl)-3-methyl-1,2-butanediamine]ruthenium(II))

Dichloro{(R)-(+)-2,2-bis[di(3,5-xylyl)phosphino]-1,1-binaphthyl}[(2R)-(-)-1,1-bis(4-methoxyphenyl)-3-methyl-1,2-butanediamine]ruthenium(II)

220114-32-9

查看更多信息
推荐供应商
区域:湖北省   年限:2020年
联系人:时燕
电话:027-84235681
手机:13657207535
区域:上海市   年限:2018年
联系人:默克
电话:021-61514946
手机:

为您推荐“220114-32-9”的上下游产品

@2009-2026 洛克化工网 浙ICP备16009103号