返回
首页
客服小蜜
会员中心
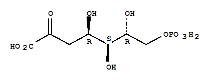
2627-73-8(4,5,6-三羟基-2-氧代-7-膦酰氧基庚酸)
区域选择
北京市
天津市
河北省
山西省
内蒙古自治区
辽宁省
吉林省
黑龙江省
上海市
江苏省
浙江省
安徽省
福建省
江西省
山东省
河南省
湖北省
湖南省
广东省
广西壮族自治区
海南省
重庆市
四川省
贵州省
云南省
西藏自治区
陕西省
甘肃省
青海省
宁夏回族自治区
新疆维吾尔自治区
台湾省
香港特别行政区
澳门
4,5,6-三羟基-2-氧代-7-膦酰氧基庚酸
2627-73-8
查看更多信息
推荐供应商
推广
4,5,6-三羟基-2-氧代-7-膦酰氧基庚酸
区域:湖北省
年限:2022年
证
研
联系人:
邵经理
电话:16621771607
手机:16621771607
发布询盘
首页
上一页
下一页
尾页
为您推荐
“2627-73-8”
的上下游产品
关于我们
联系我们
产品目录
化工百科
@2009-2026 洛克化工网 浙ICP备16009103号