返回

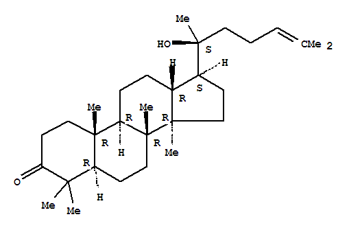
471-69-2(龙脑香醇酮)

龙脑香醇酮

471-69-2

查看更多信息
推荐供应商
区域:江苏省   年限:2024年
联系人:李珊
电话:18251890384
手机:18251890384
推广 Dipterocarpol
区域:四川省   年限:2021年
联系人:
电话:028-85003950
手机:17313084125
区域:湖北省   年限:2017年
联系人:欧阳
电话:13545281503
手机:18607104898
区域:上海市   年限:2018年
联系人:Shirley张
电话:021-57520831
手机:18116052675
区域:上海市   年限:2010年
联系人:Yuki
电话:021-61845781
手机:13585604150
推广 471-69-2
区域:北京市   年限:2018年
联系人:
电话:15911056312
手机:15911056312
区域:云南省   年限:2011年
联系人:
电话:0871-5217109
手机:
区域:上海市   年限:2017年
联系人:beth
电话:02158101715
手机:13651718343

为您推荐“471-69-2”的上下游产品

@2009-2026 洛克化工网 浙ICP备16009103号