返回

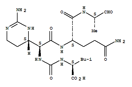
51798-45-9((2S)-2-[(4S)-2-氨基-1,4,5,6-四羟基4-嘧啶基]-N-[[[(1S)-1-羰基-3-甲基丁基]氨基]羰基]甘氨酰-N1-[(1S)-1-甲基-2-氧乙基-L-谷氨酸甲酰胺)

(2S)-2-[(4S)-2-氨基-1,4,5,6-四羟基4-嘧啶基]-N-[[[(1S)-1-羰基-3-甲基丁基]氨基]羰基]甘氨酰-N1-[(1S)-1-甲基-2-氧乙基-L-谷氨酸甲酰胺

51798-45-9

查看更多信息

没有找到符合您的产品名,为您推荐“51798-45-9”的上下游产品

@2009-2026 洛克化工网 浙ICP备16009103号