返回

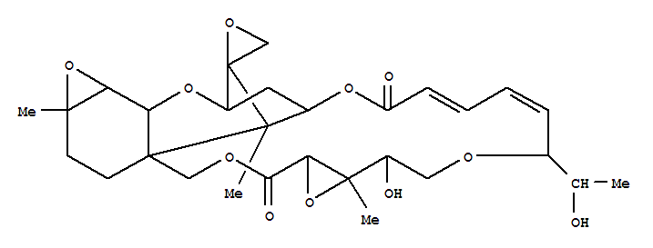
61251-97-6(16-羟基-19-(1-羟基乙基)-6,15,27-三甲基-12H,24H-螺[2,5,11,14,18,25-六氧杂六环[24.2.1.03,9.04,6.09,27.013,15]二十九-20,22-二烯-28,2'-环氧乙烷]-12,24-二酮)

16-羟基-19-(1-羟基乙基)-6,15,27-三甲基-12H,24H-螺[2,5,11,14,18,25-六氧杂六环[24.2.1.03,9.04,6.09,27.013,15]二十九-20,22-二烯-28,2'-环氧乙烷]-12,24-二酮

61251-97-6

查看更多信息
推荐供应商
推广 BACCHARIN
区域:山东省   年限:2023年
联系人:谭经理
电话:13053322091
手机:13053322091

为您推荐“61251-97-6”的上下游产品

@2009-2026 洛克化工网 浙ICP备16009103号