返回

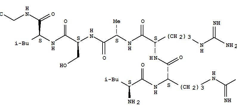
65189-71-1(肯普肽)

肯普肽

65189-71-1

查看更多信息
推荐供应商
推广 肯普肽
区域:山东省   年限:2024年
联系人:张经理
电话:15666366704
手机:15666366704
推广 肯普肽
区域:浙江省   年限:2019年
联系人:向海林
电话:17342063383
手机:
区域:北京市   年限:2010年
联系人:翟先生
电话:18210857532
手机:18210857532
推广 肯普肽
区域:江苏省   年限:2023年
联系人:
电话:13862111431
手机:13862111431
区域:浙江省   年限:2015年
联系人:徐莉
电话:0571-88211951
手机:13735575465
区域:上海市   年限:2012年
联系人:吴经理
电话:021-50673982
手机:17321195801
推广 多肽定制
区域:   年限:2020年
联系人:徐钊
电话:15952803037
手机:15952803037
推广 肯普肽
区域:   年限:2023年
联系人:
电话:0513-8481375884819778
手机:

为您推荐“65189-71-1”的上下游产品

@2009-2026 洛克化工网 浙ICP备16009103号