返回

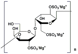
9064-57-7(λ-角叉胶)

λ-角叉胶

9064-57-7

查看更多信息
推荐供应商
推广 角叉胶
区域:湖北省   年限:2019年
联系人:张经理
电话:027-59209883
手机:17386169806
推广 λ-角叉胶
区域:湖北省   年限:2019年
联系人:方经理
电话:027-59206672
手机:18327059871
推广 角叉胶
区域:河南省   年限:2022年
联系人:
电话:18238869976
手机:18238869976
推广 λ-角叉胶
区域:上海市   年限:2018年
联系人:Shirley张
电话:021-57520831
手机:18116052675
推广 λ-角叉胶
区域:上海市   年限:2010年
联系人:Yuki
电话:021-61845781
手机:13585604150
推广 角叉胶
区域:山东省   年限:2020年
联系人:
电话:4009903999
手机:18053972095
推广 λ-角叉胶
区域:上海市   年限:2019年
联系人:
电话:021-64806089
手机:18049821080
推广 λ-角叉胶
区域:湖北省   年限:2022年
联系人:邵经理
电话:16621771607
手机:16621771607
推广 角叉菜胶
区域:江苏省   年限:2022年
联系人:
电话:15161148838
手机:15161148838
推广 λ-卡拉胶
区域:上海市   年限:2022年
联系人:宋经理
电话:4006399689
手机:18930436018

为您推荐“9064-57-7”的上下游产品

@2009-2026 洛克化工网 浙ICP备16009103号