返回

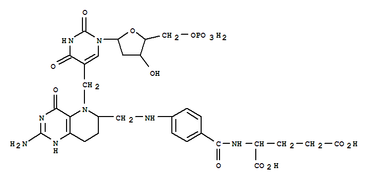
92008-00-9(N-(4-(((2-氨基-3,4,5,6,7,8-六氢-4-氧代-5-((2'-脱氧尿苷-5-基)甲基)吡啶并[3,2-d]嘧啶-6-基)甲基)氨基)苯甲酰基)谷氨酸 5'-单磷酸酯)

N-(4-(((2-氨基-3,4,5,6,7,8-六氢-4-氧代-5-((2'-脱氧尿苷-5-基)甲基)吡啶并[3,2-d]嘧啶-6-基)甲基)氨基)苯甲酰基)谷氨酸 5'-单磷酸酯

92008-00-9

查看更多信息

没有找到符合您的产品名,为您推荐“92008-00-9”的上下游产品

@2009-2026 洛克化工网 浙ICP备16009103号