返回

99287-07-7(CYS-TYR-CYS-ARG-ILE-PRO-ALA-CYS-ILE-ALA-GLY-GLU-ARG-ARG-TYR-GLY-THR-CYS-ILE-TYR-GLN-GLY-ARG-LEU-TRP-ALA-PHE-CYS-CYS (DISULFIDE BRIDGE: CYS1- CYS29, CYS3- CYS18, CYS8- CYS28))

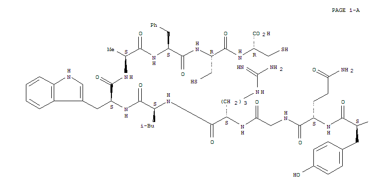
CYS-TYR-CYS-ARG-ILE-PRO-ALA-CYS-ILE-ALA-GLY-GLU-ARG-ARG-TYR-GLY-THR-CYS-ILE-TYR-GLN-GLY-ARG-LEU-TRP-ALA-PHE-CYS-CYS (DISULFIDE BRIDGE: CYS1- CYS29, CYS3- CYS18, CYS8- CYS28)

99287-07-7

查看更多信息
推荐供应商
区域:上海市   年限:2012年
联系人:吴经理
电话:021-50673982
手机:17321195801
推广 合成多肽
区域:   年限:2020年
联系人:徐钊
电话:15952803037
手机:15952803037

为您推荐“99287-07-7”的上下游产品

@2009-2026 洛克化工网 浙ICP备16009103号