| 中文名称: | |
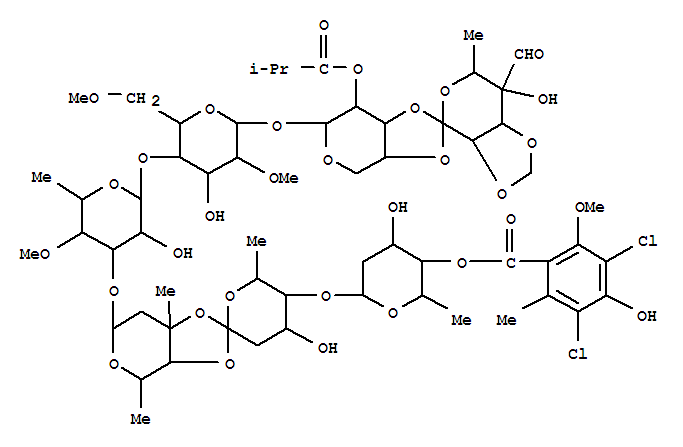
| 英文名称: | b-D-Mannopyranoside,O-(1R)-6-deoxy-4-C-formyl-2,3-O-methylene-D-galactopyranosylidene-(1®3-4)-2-O-(2-methyl-1-oxopropyl)-a-L-lyxopyranosylO-2,6-dideoxy-4-O-(3,5-dichloro-4-hydroxy-2-methoxy-6-methylbenzoyl)-b-D-arabino-hexopyranosyl-(1®4)-O-2,6-dideoxy-D-arabino-hexopyranosylidene-(1®3-4)-O-2,6-dideoxy-3-C-methyl-b-D-arabino-hexopyranosyl-(1®3)-O-6-deoxy-4-O-methyl-b-D-galactopyranosyl-(1®4)-2,6-di-O-methyl- (9CI) |
| CAS No: | 104748-52-9 |
| EINECS号: | |
| 分 子 式: | C60H86Cl2O32 |
| 分 子 量: | |
| 密 度: | |
| 闪 点: | |
| 熔 点: | |
| 沸 点: | |
| 危险品标志: | |
| 风险术语: | |
| 分子结构: |
![]() |