返回
化工字典
首页
客服小蜜
会员中心
中文名称:
英文名称:
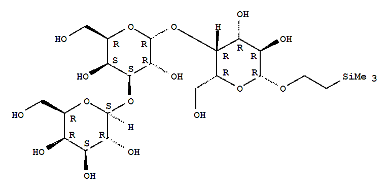
b-D-Galactopyranoside,2-(trimethylsilyl)ethyl O-b-D-galactopyranosyl-(1®3)-O-a-D-galactopyranosyl-(1®4)-
CAS No:
157553-92-9
EINECS号:
分 子 式:
C
23
H
44
O
16
Si
分 子 量:
0
密 度:
1.5g/cm
3
闪 点:
465.2°C
熔 点:
沸 点:
845.6°Cat760mmHg
危险品标志:
风险术语:
分子结构:
关于我们
联系我们
产品目录
化工百科
@2009-2026 洛克化工网 浙ICP备16009103号