返回
化工字典
首页
客服小蜜
会员中心
中文名称:
英文名称:
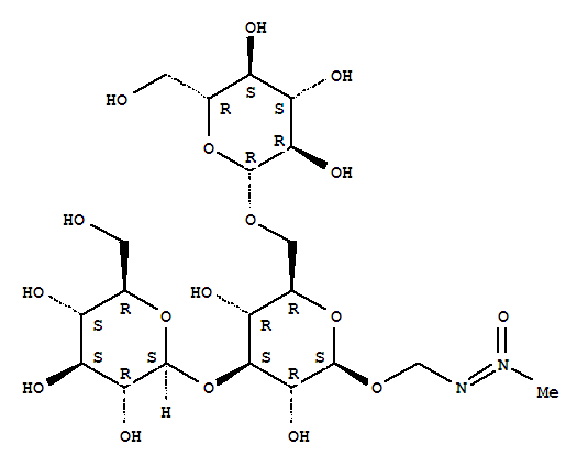
b-D-Glucopyranoside,(methyl-ONN-azoxy)methyl O-b-D-glucopyranosyl-(1®3)-O-[b-D-glucopyranosyl-(1®6)]- (9CI)
CAS No:
102770-22-9
EINECS号:
分 子 式:
C
20
H
36
N
2
O
17
分 子 量:
密 度:
闪 点:
熔 点:
沸 点:
危险品标志:
风险术语:
分子结构:
关于我们
联系我们
产品目录
化工百科
@2009-2026 洛克化工网 浙ICP备16009103号