返回
化工字典
首页
客服小蜜
会员中心
中文名称:
英文名称:
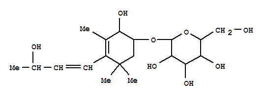
b-D-Glucopyranoside,2-hydroxy-4-(3-hydroxy-1-butenyl)-3,5,5-trimethyl-3-cyclohexen-1-yl (9CI)
CAS No:
165306-60-5
EINECS号:
分 子 式:
C
19
H
32
O
8
分 子 量:
388.4526
密 度:
1.331g/cm
3
闪 点:
318.834°C
熔 点:
沸 点:
603.581°C at 760 mmHg
危险品标志:
风险术语:
分子结构:
关于我们
联系我们
产品目录
化工百科
@2009-2026 洛克化工网 浙ICP备16009103号