返回
化工字典
首页
客服小蜜
会员中心
中文名称:
英文名称:
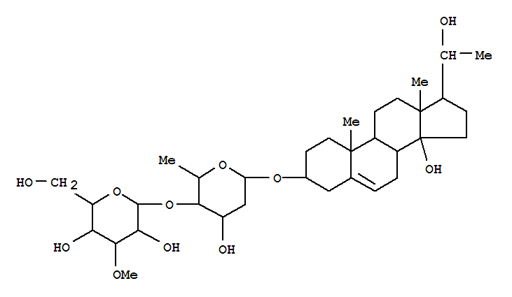
b-D-ribo-Hexopyranoside, (3b,14b,20S)-14,20-dihydroxypregn-5-en-3-yl2,6-dideoxy-4-O-(3-O-methyl-a-D-galactopyranosyl)- (9CI)
CAS No:
155709-36-7
EINECS号:
分 子 式:
C
34
H
56
O
11
分 子 量:
密 度:
闪 点:
熔 点:
沸 点:
危险品标志:
风险术语:
分子结构:
关于我们
联系我们
产品目录
化工百科
@2009-2026 洛克化工网 浙ICP备16009103号