返回
化工字典
首页
客服小蜜
会员中心
中文名称:
英文名称:
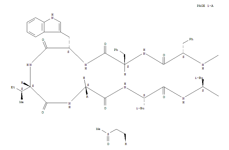
Cyclo(L-isoleucyl-S-oxido-L-methionyl-L-leucyl-L-leucyl-L-prolyl-L-phenylalanyl-L-phenylalanyl-L-tryptophyl)
CAS No:
222527-66-4
EINECS号:
分 子 式:
C
57
H
77
N
9
O
9
S
分 子 量:
密 度:
闪 点:
熔 点:
沸 点:
危险品标志:
风险术语:
分子结构:
关于我们
联系我们
产品目录
化工百科
@2009-2026 洛克化工网 浙ICP备16009103号