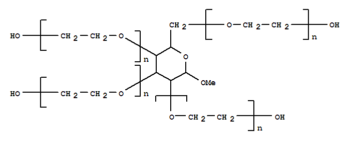
| 中文名称: | 甲基-D-吡喃葡糖苷聚环氧乙烷油酸酯 |
| 英文名称: | Poly(oxy-1,2-ethanediyl),a-hydro-w-hydroxy-, ether with methyl b-D-glucopyranoside,octadecanoate (8:2:3) |
| CAS No: | 68389-70-8 |
| EINECS号: | |
| 分 子 式: | (C2H4O)n(C2H4O)n(C2H4O)n(C2H4O)nC7H14O6 |
| 分 子 量: | 0 |
| 密 度: | |
| 闪 点: | |
| 熔 点: | |
| 沸 点: | |
| 危险品标志: | |
| 风险术语: | |
| 分子结构: |
![]() |