返回
化工字典
首页
客服小蜜
会员中心
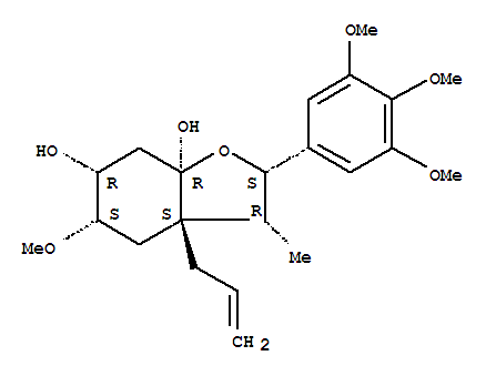
中文名称:
英文名称:
6,7a(2H)-Benzofurandiol,hexahydro-5-methoxy-3-methyl-3a-(2-propenyl)-2-(3,4,5-trimethoxyphenyl)-,(2R,3S,3aR,5R,6S,7aS)-rel-(+)- (9CI)
CAS No:
142795-95-7
EINECS号:
分 子 式:
C
22
H
32
O
7
分 子 量:
408.492
密 度:
闪 点:
熔 点:
沸 点:
危险品标志:
风险术语:
分子结构:
关于我们
联系我们
产品目录
化工百科
@2009-2026 洛克化工网 浙ICP备16009103号