| 中文名称: | |
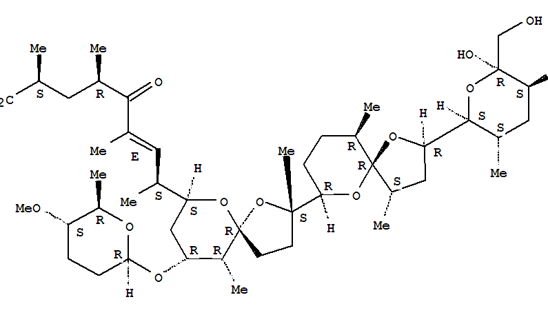
| 英文名称: | 6-Nonenoic acid,2,4,6-trimethyl-5-oxo-8-[(2S,2'R,4'S,5R,5'R,7S,7'R,9R,10R,10'R)-2,4',10,10'-tetramethyl-2'-[(2S,3S,5S,6R)-tetrahydro-6-hydroxy-6-(hydroxymethyl)-3,5-dimethyl-2H-pyran-2-yl]-9-[[(2R,5S,6R)-tetrahydro-5-methoxy-6-methyl-2H-pyran-2-yl]oxy][2,7'-bi-1,6-dioxaspiro[4.5]dec]-7-yl]-,(2S,4R,6E,8S)- |
| CAS No: | 73522-76-6 |
| EINECS号: | |
| 分 子 式: | C47H78O13 |
| 分 子 量: | 0 |
| 密 度: | |
| 闪 点: | |
| 熔 点: | |
| 沸 点: | |
| 危险品标志: | |
| 风险术语: | |
| 分子结构: |
![]() |