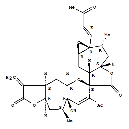
| 中文名称: | 130430-97-6 辛辣内酯A标准品 |
| 英文名称: | Spiro[furo[2',3':5,6]cyclohepta[1,2-b]pyran-6(2H),6'(1'aH)-[5H]oxireno[4,5]cyclohepta[1,2-b]furan]-2,5'-dione,7-acetyl-2',3,3',3'a,3a,4,4a,6'a,7',7'a,8a,9,10,10a-tetradecahydro-8a-hydroxy-2',9-dimethyl-3-methylene-1'a-[(1E)-3-oxo-1-buten-1-yl]-,(1'aR,2'R,3'aS,3aR,4aR,6R,6'aR,7'aR,8aR,9S,10aR)- |
| CAS No: | 130430-97-6 |
| EINECS号: | |
| 分 子 式: | C29H34O9 |
| 分 子 量: | 526.57 |
| 密 度: | 1.36±0.1 g/cm3 (20 oC 760 Torr) |
| 闪 点: | |
| 熔 点: | |
| 沸 点: | 770.7±60.0 °C(Predicted) |
| 危险品标志: | |
| 风险术语: | |
| 分子结构: |
![]() |