返回
化工字典
首页
客服小蜜
会员中心
中文名称:
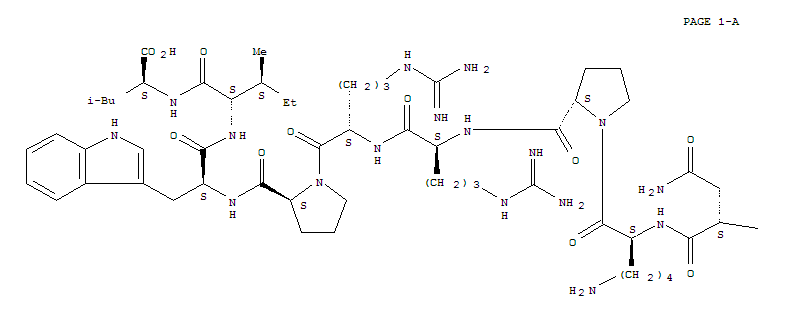
色氨酰(11)-神经降压素
英文名称:
Neurotensin (cattle),11-L-tryptophan-
CAS No:
75644-95-0
EINECS号:
分 子 式:
C
80
H
122
N
22
O
19
分 子 量:
0
密 度:
1.47±0.1 g/cm3(Predicted)
闪 点:
熔 点:
沸 点:
危险品标志:
风险术语:
分子结构:
关于我们
联系我们
产品目录
化工百科
@2009-2026 洛克化工网 浙ICP备16009103号