返回
化工字典
首页
客服小蜜
会员中心
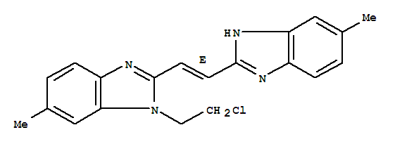
中文名称:
英文名称:
1H-Benzimidazole,1-(2-chloroethyl)-6-methyl-2-[2-(5-methyl-1H-benzimidazol-2-yl)ethenyl]-, (E)-(9CI)
CAS No:
22661-99-0
EINECS号:
分 子 式:
C
20
H
19
ClN
4
分 子 量:
350.8447
密 度:
1.28g/cm
3
闪 点:
316.9°C
熔 点:
沸 点:
600.5°Cat760mmHg
危险品标志:
风险术语:
分子结构:
关于我们
联系我们
产品目录
化工百科
@2009-2026 洛克化工网 浙ICP备16009103号