| 中文名称: | |
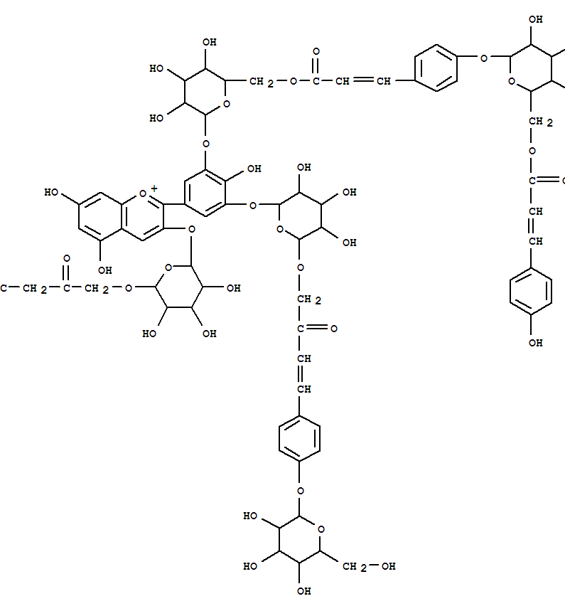
| 英文名称: | 1-Benzopyrylium,3-[[6-O-(carboxyacetyl)-b-D-glucopyranosyl]oxy]-2-[3-[[6-O-[(2E)-3-[4-(b-D-glucopyranosyloxy)phenyl]-1-oxo-2-propenyl]-b-D-glucopyranosyl]oxy]-4-hydroxy-5-[[6-O-[(2E)-3-[4-[[6-O-[(2E)-3-(4-hydroxyphenyl)-1-oxo-2-propenyl]-b-D-glucopyranosyl]oxy]phenyl]-1-oxo-2-propenyl]-b-D-glucopyranosyl]oxy]phenyl]-5,7-dihydroxy-,inner salt (9CI) |
| CAS No: | 126104-78-7 |
| EINECS号: | |
| 分 子 式: | C75H80O41 |
| 分 子 量: | |
| 密 度: | |
| 闪 点: | |
| 熔 点: | |
| 沸 点: | |
| 危险品标志: | |
| 风险术语: | |
| 分子结构: |
![]() |