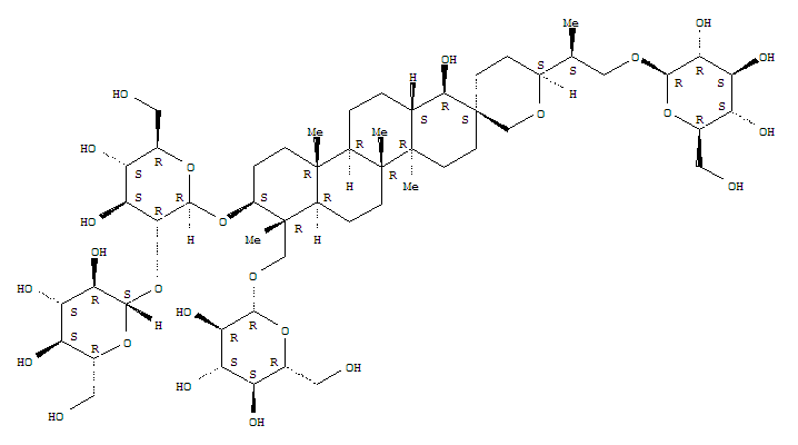
| 中文名称: | 凤仙萜四醇苷K |
| 英文名称: | b-D-Glucopyranoside,(1R,2S,4aR,4bR,6'S,6aR,7R,8S,10aR,10bR,12aS)-7-[(b-D-glucopyranosyloxy)methyl]-6'-[(1S)-2-(b-D-glucopyranosyloxy)-1-methylethyl]octadecahydro-1-hydroxy-4a,4b,7,10a-tetramethylspiro[chrysene-2(1H),3'(4'H)-[2H]pyran]-8-yl2-O-b-D-glucopyranosyl- (9CI) |
| CAS No: | 160896-49-1 |
| EINECS号: | |
| 分 子 式: | C54H92O25 |
| 分 子 量: | 1141.31 |
| 密 度: | 1.50±0.1 g/cm3(Predicted) |
| 闪 点: | |
| 熔 点: | |
| 沸 点: | |
| 危险品标志: | |
| 风险术语: | |
| 分子结构: |
![]() |