返回
化工字典
首页
客服小蜜
会员中心
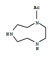
中文名称:
英文名称:
Ethanone,1-(octahydro-1H-1,4,7-triazonin-1-yl)-
CAS No:
784163-95-7
EINECS号:
分 子 式:
C
8
H
17
N
3
O
分 子 量:
171.24008
密 度:
0.983±0.06 g/cm3(Predicted)
闪 点:
熔 点:
沸 点:
334.8±32.0 °C(Predicted)
危险品标志:
风险术语:
分子结构:
关于我们
联系我们
产品目录
化工百科
@2009-2026 洛克化工网 浙ICP备16009103号