返回
化工字典
首页
客服小蜜
会员中心
中文名称:
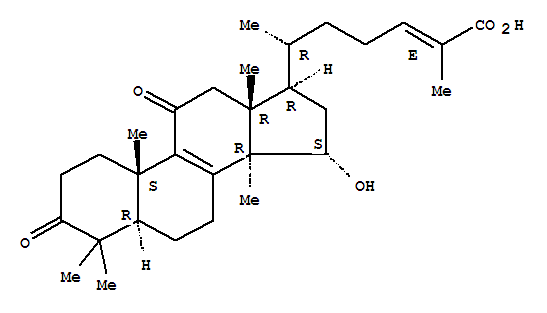
英文名称:
Lanosta-8,24-dien-26-oicacid, 15-hydroxy-3,11-dioxo-, (15a,24E)-
CAS No:
114567-50-9
EINECS号:
分 子 式:
C
30
H
44
O
5
分 子 量:
484.66736
密 度:
闪 点:
熔 点:
沸 点:
危险品标志:
风险术语:
分子结构:
关于我们
联系我们
产品目录
化工百科
@2009-2026 洛克化工网 浙ICP备16009103号