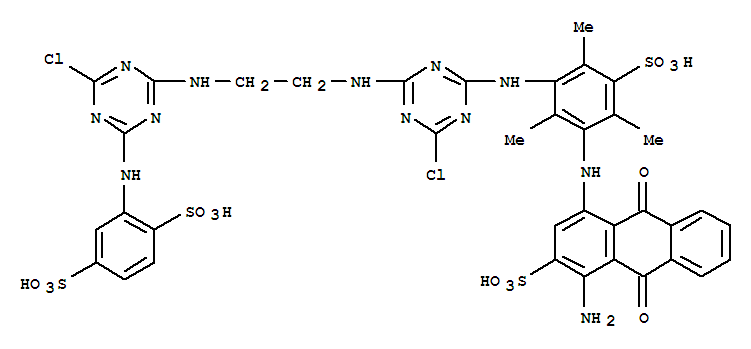
| 中文名称: | |
| 英文名称: | 1,4-Benzenedisulfonicacid,2-[[4-[[2-[[4-[[3-[(4-amino-9,10-dihydro-9,10-dioxo-3-sulfo-1-anthracenyl)amino]-2,4,6-trimethyl-5-sulfophenyl]amino]-6-chloro-1,3,5-triazin-2-yl]amino]ethyl]amino]-6-chloro-1,3,5-triazin-2-yl]amino]- |
| CAS No: | 94021-16-6 |
| EINECS号: | |
| 分 子 式: | C37H32Cl2N12O14S4 |
| 分 子 量: | 1067.88798 |
| 密 度: | 1.833g/cm3 |
| 闪 点: | °C |
| 熔 点: | |
| 沸 点: | °Cat760mmHg |
| 危险品标志: | |
| 风险术语: | |
| 分子结构: |
![]() |