| 中文名称: | |
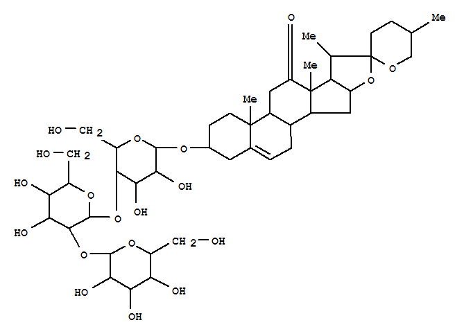
| 英文名称: | Spirost-5-en-12-one,3-[(O-b-D-glucopyranosyl-(1®2)-O-b-D-glucopyranosyl-(1®4)-b-D-galactopyranosyl)oxy]-, (3b,25R)- |
| CAS No: | 150175-11-4 |
| EINECS号: | |
| 分 子 式: | C45H70O19 |
| 分 子 量: | 915.03 |
| 密 度: | 1.48±0.1 g/cm3(Predicted) |
| 闪 点: | |
| 熔 点: | |
| 沸 点: | |
| 危险品标志: | |
| 风险术语: | |
| 分子结构: |
![]() |