返回化工字典

中文名称: (PRO3)-DYNORPHIN A (1-11) AMIDE
英文名称: L-Lysinamide,L-tyrosylglycyl-L-prolyl-L-phenylalanyl-L-leucyl-L-arginyl-L-arginyl-L-isoleucyl-L-arginyl-L-prolyl-(9CI)
CAS No: 289636-76-6
EINECS号:
分 子 式: C66H108N22O12
分 子 量: 1401.7
密 度: 1.42±0.1 g/cm3(Predicted)
闪 点:
熔 点:
沸 点:
危险品标志:
风险术语:
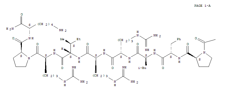
分子结构:

点此下载 Word 文件及其它版本 SDS | 杭州智化 - XiXisys.com 制作并提供此 SDS

化学品安全技术说明书

产品名称: (PRO3)-DYNORPHIN A (1-11) AMIDE 按照GB/T 16483、GB/T 17519 编制
修订日期: 2017年08月17日 最初编制日期: 2017年08月17日
版本: 1.0

第1部分 化学品及企业标识

化学品中文名:
(PRO3)-DYNORPHIN A (1-11) AMIDE
化学品英文名:
(Pro3)-Dynorphin A (1-11) amide
-(24h)
产品推荐及限制用途:
For industry use only.。

第2部分 危险性概述

紧急情况概述:

无资料

GHS危险性类别:

无资料

标签要素:
象形图:
无资料
警示词:

无资料

危险性说明:

无资料

防范说明:
  • 预防措施:
    • 无资料
  • 事故响应:
    • 无资料
  • 安全储存:
    • 无资料
  • 废弃处置:
    • 无资料
物理和化学危险:
无资料
健康危害:
无资料
环境危害:
无资料

第3部分 成分/组成信息

组分 浓度或浓度范围(质量分数,%) CAS No.
(Pro3)-Dynorphin A (1-11) amide 100% 289636-76-6

第4部分 急救措施

急 救:

吸 入: 如果吸入,请将患者移到新鲜空气处。

皮肤接触: 脱去污染的衣着,用肥皂水和清水彻底冲洗皮肤。如有不适感,就医。

眼晴接触: 分开眼睑,用流动清水或生理盐水冲洗。立即就医。

食 入: 漱口,禁止催吐。立即就医。

对保护施救者的忠告:
将患者转移到安全的场所。咨询医生。出示此化学品安全技术说明书给到现场的医生看。
对医生的特别提示:
无资料。

第5部分 消防措施

灭火剂:

用水雾、干粉、泡沫或二氧化碳灭火剂灭火。

避免使用直流水灭火,直流水可能导致可燃性液体的飞溅,使火势扩散。

特别危险性:
无资料。
灭火注意事项及防护措施:

消防人员须佩戴携气式呼吸器,穿全身消防服,在上风向灭火。

尽可能将容器从火场移至空旷处。

处在火场中的容器若已变色或从安全泄压装置中发出声音,必须马上撤离。

隔离事故现场,禁止无关人员进入。收容和处理消防水,防止污染环境。

第6部分 泄露应急处理

作业人员防护措施、防护装备和应急处置程序:

建议应急处理人员戴携气式呼吸器,穿防静电服,戴橡胶耐油手套。

禁止接触或跨越泄漏物。

作业时使用的所有设备应接地。

尽可能切断泄漏源。

消除所有点火源。

根据液体流动、蒸汽或粉尘扩散的影响区域划定警戒区,无关人员从侧风、上风向撤离至安全区。

环境保护措施:
收容泄漏物,避免污染环境。防止泄漏物进入下水道、地表水和地下水。
泄漏化学品的收容、清除方法及所使用的处置材料:

小量泄漏:尽可能将泄漏液体收集在可密闭的容器中。用沙土、活性炭或其它惰性材料吸收,并转移至安全场所。禁止冲入下水道。

大量泄漏:构筑围堤或挖坑收容。封闭排水管道。用泡沫覆盖,抑制蒸发。用防爆泵转移至槽车或专用收集器内,回收或运至废物处理场所处置。

第7部分 操作处置与储存

操作注意事项:

操作人员应经过专门培训,严格遵守操作规程。

操作处置应在具备局部通风或全面通风换气设施的场所进行。

避免眼和皮肤的接触,避免吸入蒸汽。

个体防护措施参见第8部分。

远离火种、热源,工作场所严禁吸烟。

使用防爆型的通风系统和设备。

如需罐装,应控制流速,且有接地装置,防止静电积聚。

避免与氧化剂等禁配物接触(禁配物参见第10部分)。

搬运时要轻装轻卸,防止包装及容器损坏。

倒空的容器可能残留有害物。

使用后洗手,禁止在工作场所进饮食。

配备相应品种和数量的消防器材及泄漏应急处理设备。

储存注意事项:

储存于阴凉、通风的库房。

库温不宜超过37°C。

应与氧化剂、食用化学品分开存放,切忌混储(禁配物参见第10部分)。

保持容器密封。

远离火种、热源。

库房必须安装避雷设备。

排风系统应设有导除静电的接地装置。

采用防爆型照明、通风设置。

禁止使用易产生火花的设备和工具。

储区应备有泄漏应急处理设备和合适的收容材料。

第8部分 接触控制/个体防护

职业接触限值:
组分名称 CAS 标准来源 类型 标准值 备注
(Pro3)-Dynorphin A (1-11) amide 289636-76-6 GBZ 2.1——2007 MAC - 未规定
PC-TWA -
PC-STEL -
生物限制:
无资料
监测方法:

GBZ/T 160.1 ~ GBZ/T 160.81-2004 工作场所空气有毒物质测定(系列标准), EN 14042 工作场所空气 用于评估暴露于化学或生物试剂的程序指南

工程控制:

作业场所建议与其它作业场所分开。

密闭操作,防止泄漏。

加强通风。

设置自动报警装置和事故通风设施。

设置应急撤离通道和必要的泻险区。

设置红色区域警示线、警示标识和中文警示说明,并设置通讯报警系统。

提供安全淋浴和洗眼设备。

个体防护装备:

呼吸系统防护:空气中浓度超标时,佩戴过滤式防毒面具(半面罩)。紧急事态抢救或撤离时,应该佩戴携气式呼吸器。

手防护:戴橡胶耐油手套。

眼睛防护:戴化学安全防护眼睛。

皮肤和身体防护:穿防毒物渗透工作服。

第9部分 理化特性

外观与性状:无资料 气味:无资料
pH值:无资料 熔点/凝固点(°C):无资料
沸点、初沸点和沸程(°C):无资料 自燃温度(°C):无资料
闪点(°C):无资料 分解温度(°C):无资料
爆炸极限[%(体积分数)]:无资料 蒸发速率[乙酸(正)丁酯以1计]:无资料
饱合蒸气压(kPa):无资料 易燃性(固体、气体):无资料
相对密度(水以1计):无资料 蒸气密度(空气以1计):无资料
气味阈值(mg/m3):无资料 n-辛醇/水分配系数(lg P):无资料
溶解性:无资料 黏度:无资料

第10部分 稳定性和反应性

稳定性:
正常环境温度下储存和使用,本品稳定。
危险反应:
无资料。
避免接触的条件:
静电放电、热、潮湿等。
禁配物:
强氧化物,强酸,强碱。
危险的分解产物:
无资料。

第11部分 毒理学信息

急性毒性:

经口: 无资料

吸入: 无资料

经皮: 无资料

皮肤刺激或腐蚀:
无资料。
眼睛刺激或腐蚀:
无资料。
呼吸或皮肤过敏:
无资料。
生殖细胞突变性:
无资料。
致癌性:
无资料。
生殖毒性:
无资料。
特异性靶器官系统毒性——一次接触:
无资料。
特异性靶器官系统毒性——反复接触:
无资料。
吸入危害:
无资料。

第12部分 生态学信息

生态毒性:

鱼类急性毒性试验: 无资料。

溞类急性活动抑制试验:无资料。

藻类生长抑制试验:无资料。

对微生物的毒性: 无资料。

持久性和降解性:
无资料。
生物富集或生物积累性:
无资料。
土壤中的迁移性:
无资料。

第13部分 废弃处置

废弃化学品:

尽可能回收利用。

如果不能回收利用,采用焚烧方法进行处置。

不得采用排放到下水道的方式废 弃处置本品。

污染包装物:
将容器返还生产商或按照国家和地方法规处置。
废弃注意事项:

废弃处置前应参阅国家和地方有关法规。

处置人员的安全防范措施参见第8部分。

第14部分 运输信息

联合国编号危险货物编号(UN号):
无资料
联合国运输名称:
无资料
联合国危险性分类:
无资料
包装类别:
无资料
包装方法:

按照生产商推荐的方法进行包装,例如:开口钢桶。安瓿瓶外普通木箱。螺纹口玻璃瓶、铁盖压口玻璃瓶、塑料瓶或金属桶(罐)外普通木箱等。

海洋污染物(是/否):
运输注意事项:

运输车辆应配备相应品种和数量的消防器材及泄漏应急处理设备。

严禁与氧化剂、食用化学品等混装混运。

装运该物品的车辆排气管必须配备阻火装置。

使用槽(罐)车运输时应有接地链,槽内可设孔隔板以减少震荡产生静电。

禁止使用易产生火花的机械设备和工具装卸。

夏季最好早晚运输。

运输途中应防暴晒、雨淋,防高温。

中途停留时应远离火种、热源、高温区。

公路运输时要按规定路线行驶,勿在居民区和人口稠密区停留。

铁路运输时要禁止溜放。

严禁用木船、水泥船散装运输。

运输工具上应根据相关运输要求张贴危险标志、公告。

第15部分 法规信息

下列法律、法规、规章和标准,对该化学品的管理作相应的规定:

组分 (Pro3)-Dynorphin A (1-11) amide CAS: 289636-76-6

中华人民共和国职业病防止法:

职业病危害因素分类目录(2015): 未列入

危险化学品安全管理条例:

危险品化学品目录(2015): 未列入

易制爆危险化学品名录(2017): 未列入

重点监管的危险化学品名录:

首批和第二批重点监管的危险化学品名录: 未列入

危险化学品环境管理登记办法(试行):

重点环境管理危险化学品目录: 未列入

麻醉药品和精神药品管理条例:

麻醉药品品种目录: 未列入

精神药品品种目录: 未列入

新化学物质环境管理办法:

中国现有化学物质名录(2013): 未列入

第16部分 其他信息

编写和修订信息:
本版为第1.0版,按照GB/T 16483-2008、GB/T 17519-2013、GB 30000系列分类标准编制。
参考文献:

【1】国际化学品安全规划署:国际化学品安全卡(ICSC),网址:http://www.ilo.org/dyn/icsc/showcard.home。

【2】国际癌症研究机构,网址:http://www.iarc.fr/。

【3】OECD 全球化学品信息平台,网址:http://www.echemportal.org/echemportal/index?pageID=0&request_locale=en。

【4】美国 CAMEO 化学物质数据库,网址:http://cameochemicals.noaa.gov/search/simple。

【5】美国医学图书馆:化学品标识数据库,网址:http://chem.sis.nlm.nih.gov/chemidplus/chemidlite.jsp。

【6】美国环境保护署:综合危险性信息系统,网址:http://cfpub.epa.gov/iris/。

【7】美国交通部:应急响应指南,网址:http://www.phmsa.dot.gov/hazmat/library/erg。

【8】德国GESTIS-有害物质数据库,网址:http://gestis-en.itrust.de/。

缩略语和首字母缩写:

MAC:最高容许浓度(maximum allowable concentration),指工作地点、在一个工作日内、任何时间有毒化学物质均不应超过的浓度。

PC-TWA:时间加权平均容许浓度(permissible concentration-time weighted average),指以时间为权数规定的8 h工作日、40 h工作周的平均容许接触浓度。

PC-STEL:短时间接触容许浓度(permissible concentration-short term exposure limit),指在遵守PC-TWA前提下允许短时间(15 min)接触的浓度。

免责声明:
本SDS的信息仅适用于所指定的产品,除非特别指明,对于本产品与其它物质的混合物等情况不适用。本SDS只为那些受过适当专业训练的该产品的使用人员提供产品使用安全方面的资料。本SDS的使用者,须对该SDS的适用性作出独立判断。由于使用本SDS所导致的伤害,本SDS的编写者将不负任何责任。
@2009-2026 洛克化工网 浙ICP备16009103号