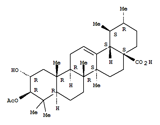
| 中文名称: | 3-乙酰氧基科罗索酸; (2alpha,3beta)-3-乙酰氧基-2-羟基乌苏-12-烯-28-酸 |
| 英文名称: | Urs-12-en-28-oic acid,3-(acetyloxy)-2-hydroxy-, (2a,3b)- |
| CAS No: | 700370-58-7 |
| EINECS号: | |
| 分 子 式: | C32H50O5 |
| 分 子 量: | 514.74 |
| 密 度: | 1.14±0.1 g/cm3(Predicted) |
| 闪 点: | |
| 熔 点: | |
| 沸 点: | 591.7±50.0 °C(Predicted) |
| 危险品标志: | |
| 风险术语: | |
| 分子结构: |
![]() |